Abstract
The Sigma-Pi structure investigated in this work consists of the sum of products of an increasing number of identically distributed random variables. It appears in stochastic processes with random coefficients and also in models of growth of entities such as business firms and cities. We study the Sigma-Pi structure with Bernoulli random variables and find that its probability distribution is always bounded from below by a power-law function regardless of whether the random variables are mutually independent or duplicated. In particular, we investigate the case in which the asymptotic probability distribution has always upper and lower power-law bounds with the same tail-index, which depends on the parameters of the distribution of the random variables. We illustrate the Sigma-Pi structure in the context of a simple growth model with successively born entities growing according to a stochastic proportional growth law, taking both Bernoulli, confirming the theoretical results, and half-normal random variables, for which the numerical results can be rationalized using insights from the Bernoulli case. We analyze the interdependence among entities represented by the product terms within the Sigma-Pi structure, the possible presence of memory in growth factors, and the contribution of each product term to the whole Sigma-Pi structure. We highlight the influence of the degree of interdependence among entities in the number of terms that effectively contribute to the total sum of sizes, reaching the limiting case of a single term dominating extreme values of the Sigma-Pi structure when all entities grow independently.
1. Introduction
In [1], we introduced the Sigma-Pi structure with identically distributed random variables as
where , represents real coefficients and are identically distributed random variables, with possible deterministic values of labels in so that variables with distinct labels are mutually independent and the ones with equal label represent repeated variables, having the same value with probability 1. Naturally, such Sigma-Pi structure—whose name was given in reference to the mathematical symbols of sum and product that appear in its definition—is itself a random variable and its convergence depends on the specification of the distribution of variables and the coefficients . For , we omit the index n and identify it just by X.
A first inspiration for proposing the Sigma-Pi structure is the (univariate) stochastic recurrence equation:
where and are random variables, whose solution has the following Sigma-Pi structure (take for simplicity , , and c real constant):
observe that here and we have for .
Equation (2) has been extensively studied (see in [2]) and one of its most interesting features, under general conditions, is the heavy-tailed—in fact, power-law-tailed—probability distribution for even for light-tailed variables and , a result proven by Kesten and Goldie [3,4]. Aside the pure mathematical interest, this equation appears in stochastic processes with random coefficients [5,6,7,8], particularly in the ARCH/GARCH processes ((Generalized) Autoregressive Conditional Heteroskedasticity) for the modeling of market price dynamics [9,10,11,12].
Being referred as random multiplicative process or Kesten process [13,14,15], Equation (2) and its variations also appear in the modeling of growth of entities, either biological populations or in social context, e.g., companies and cities sizes [16,17,18,19,20]. The presence of the Kesten process in such growth models is explained by two basic ingredients: the Gibrat’s law of proportional growth—the growth of an entity is proportional to its current size but with stochastic growth rates independent of it [21]—and a surviving mechanism to prevent the collapse to zero [14]. One of the simplest surviving mechanism is the introduction of an additive term to the basic Gibrat’s law, which results in Equation (2).
Equation (3), derived from the Kesten process, is only a specific case of the general Sigma-Pi structure, where random variables of same label are repeated in different product terms (for example, variable occurs in all product terms). From the definition of the Sigma-Pi structure in Equation (1), numerous other configurations are possible. Mikosch et al. studied the total independence case, with each random variable of a given label occurring only once, meaning all involved random variables are independent, and proved that it also has a power-law-tailed probability distribution [22]. In [1], we also considered a mixture between the total independence and the Kesten case; based on numerical simulations and heuristic arguments, we conjectured that the Sigma-Pi structure presents power-law-tailed probability distribution of same tail-index for any case provided there is no repeated variable within a single product term. Those observations suggest that the power-law tail is a general feature of the Sigma-Pi structure, with the Kesten process being a particular instance. The study of such structure can then contribute to our understanding of the emergence of power-law-tailed probability distributions, in a similar way that the central limit theorem explains the normal distribution arising from the sum of random variables.
Here, we explore the Sigma-Pi structure defined in Equation (1) with Bernoulli random variables. The investigation of the simple Bernoulli random variables in the next section allows us to obtain exact results for the general Sigma-Pi structure, a particular one being that, for any configuration of random variables, it has a distribution bounded from below by a power-law function. Focusing on the case with no repeated variable within a single product term, we further show that the asymptotic probability distribution of the Sigma-Pi structure always lies between two power-laws of same tail-index. In Section 3, we place the Sigma-Pi structure in the context of a prototypical model for growth of entities which we proposed in [1]; we illustrate the results obtained in the previous section by examining entities possibly growing interdependently and present an elementary example of temporal dependence. Despite the simplicity of the Bernoulli random variable, its study provides useful insights for other distributions, such as for half-normally distributed random variables that we analyze in Section 4 also in the growth model context and derive numerical results analogous to the Bernoulli case. We summarize and make our final comments in Section 5.
2. Sigma-Pi Structure with Bernoulli Random Variables
2.1. General Result
In this section, we study the Sigma-Pi structure with , , , and , , i.e., with probability p and with probability . We then can write Equation (1) as
where , consequently having , not necessarily mutually independent due to the possible repetition of random variables , with being the number of distinct/independent random variables in the product term .
There are two kinds of dependence due to the repetition of variables (identified by labels ):
- (a)
- within-dependence: repeated variables within a single product term , i.e., . For example, in the variable appears twice (). In the extreme case in which all product terms have all variables distinct, we say that the Sigma-Pi structure has within-independence;
- (b)
- between-dependence: repeated variables in different product terms and , i.e., . For example, and share the variable (). In the extreme case in which any pair of product terms have all variables distinct, we say that the Sigma-Pi structure has between-independence.
We show here that, for any kind of within- and between-dependence, the complementary cumulative probability distribution is bounded from below by a power-law function. Imposing the condition or , if j finite (see Appendix A for case ), we have that the probability that is greater than or equal to is the complementary probability that is less than , which happens when all terms that could be greater than or equal to are zero, that is,
We indicate by the irreducible set of variables generating the product terms ,, …, , i.e., the set of all variables with distinct labels in the considered product terms. The event (which can be thought of as a “macrostate”, in the language of Statistical Physics) is equivalent to the union of all possible values of that satisfy the condition of the event (“microstates” corresponding to the “macrostate”). We denote the set of all such by . For example, the irreducible set of variables generating the product terms and , with and , is ; if the “macrostate” is , the set of all “microstates” is . Then, the terms in the product in Equation (5) can be written as
As events in are disjoint, so are events , and the numerator of Equation (6) reads as
Observing each term in the sum in Equation (7), we have the bounds . They corresponds to two extreme cases: (lower) does not share any variable with any , , and (upper) shares l variables with some , . Thus, the terms in the product in Equation (5) also have the bounds
Considering all possible within-dependence cases (reflected in the function ), the minimum value for the lower bound in Equation (9) occurs for within-independence: , and the maximum value for the upper bound occurs for total within-dependence: . Then,
Defining such that for and letting (changing notation to X):
For other values of x, we use the property of the complementary cumulative probability:
so that if , then (see graphical derivation in Figure 1: values and the corresponding probabilities define regions where the probabilities for other values of x must occur).
Figure 1.
Representation in logarithmic scales of a complementary cumulative distribution having the law , from a given j (black symbols). Values for can only occur in the red shaded areas, which define the bounds (gray lines).
Therefore, for any within- and between-dependence, we obtain (observing that , for )
that is, the Sigma-Pi structure with Bernoulli random variables has a distribution bounded from below by a power-law regardless of the type of within- and between-dependence. Observe that such bound is also valid for , but the support of the distribution is bounded when n is finite.
2.2. Within-Independence
We can improve the bounds for if we specify the within-dependence. We select the within-independence, , , and consider the two following between-dependence cases:
- (i)
- between-independence: , ⇒, mutually independent.where the superscript indicates the nature of the between-dependence, the subscript indicates the nature of the within-dependence, and is the q-Pochhammer symbol [23]. For , using the expansion , we have
- (ii)
- Kesten between-dependence: , ⇒, .Note that for Kesten between-dependence there are restrictions on possible within-dependence: ; , , . For within-independence (, ), it reproduces the solution of the Kesten process.
Now observe that, for within-dependence compatible with Kesten between-dependence, in particular within-independence, the two between-dependence cases above correspond to the bounds of Equation (8): (i) ), because and , , are independent, and (ii) , because contains all variables in , . Therefore,
From bounds in Equations (16) and (18), for within-independence and large x:
i.e., given within-independence, probabilities for large x always lie between power-laws with the same tail-index , regardless of the between-dependence (note that follows Kesten’s relation [2,3,4]). A similar result in the context of the Kesten process is known for Kesten between-dependence and random variables whose logarithms have arithmetic distributions (conditioned to non-zero values) [24], which is the case of Bernoulli random variables; here, we demonstrate that it is valid for any between-dependence case, although restricted to the Bernoulli case.
2.3. Max-Pi Structure
The above results for Sigma-Pi can be extended to related structures. An example is the Max-Pi structure:
For Bernoulli random variables, with the same settings we used for the Sigma-Pi structure, it reads
with possible values . For , we have that and previous results hold. The Max-Pi structure has potential applications in the theory of records [25].
3. Growth Model with Bernoulli Random Variables
3.1. Growth-or-Death Model
We now revisit the growth model proposed in [1] based on a simplification of growth mechanisms considered in [26,27,28], in the special case of successive births of new entities. It consists of a set of entities of sizes evolving according to Gibrat’s law and one entity born with initial size at each time step. Each entity size , , at time t is given by
The solution for :
The sum of sizes of all existing entities at time t, excluding the new-born entity (which only corresponds to a constant term), has a Sigma-Pi structure:
(note the index transformations: and ). The sum of sizes of entities is the time-evolving quantity of interest for which we seek the stationary distribution, and it has different meaning depending on the investigated system, representing, for example, “the total capitalization of a country, when entities are firms, or the total biomass of an ecosystem for biological populations” [1].
By taking Bernouli random variables , , we generate the Growth-or-Death model: entities either grow by a factor or die. Furthermore, by choosing , , we impose that new entities are born with unit size. Dependence among entities can be specified using the associated between-dependence of the Sigma-Pi structure. For the two extreme cases of between-dependence, we have the interpretations: (i) between-independence: each entity grows or dies independently of others, and (ii) Kesten between-dependence: factors affecting growth or death are shared by all entities so that existing entities grow or die all together.
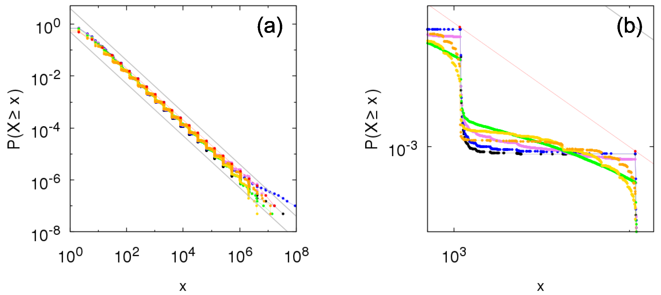
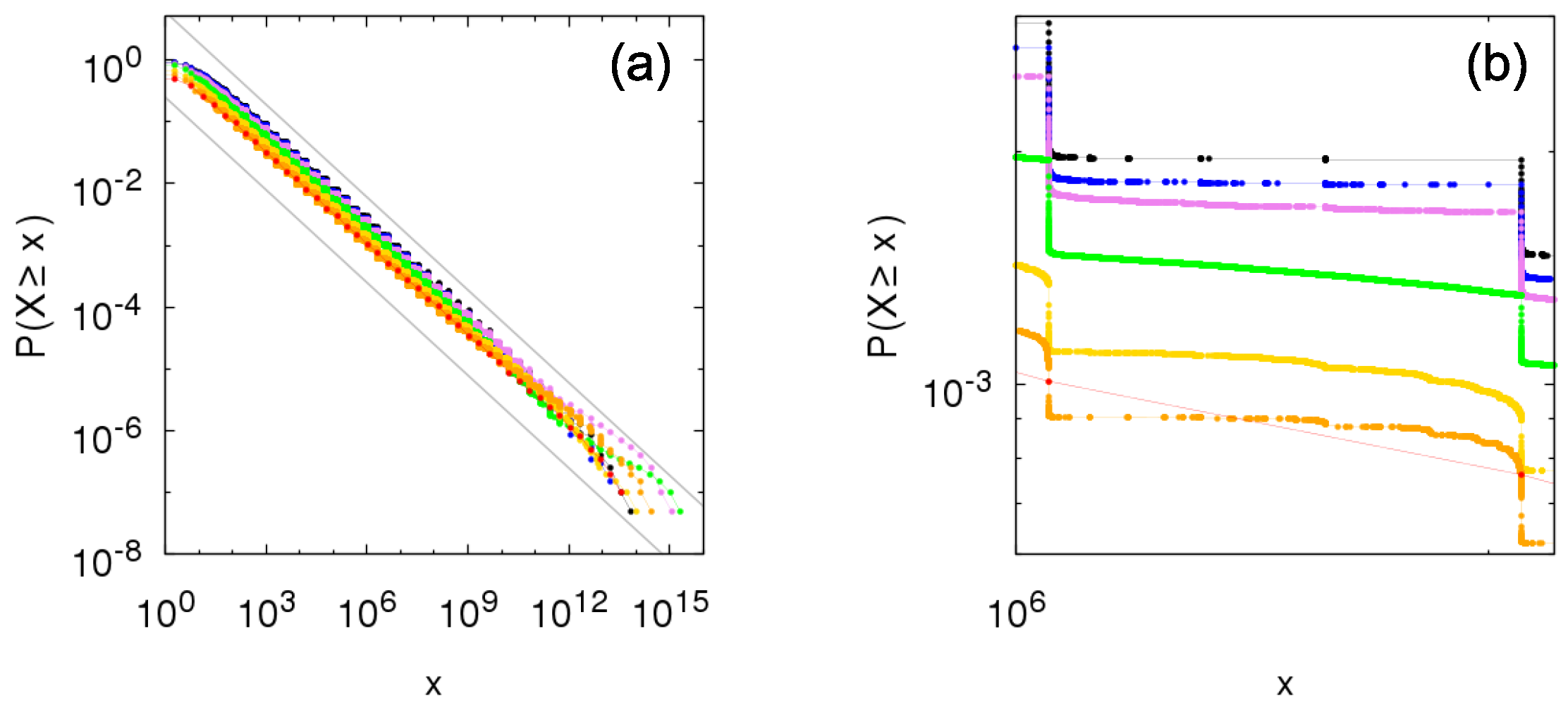
Figure 2 and Figure 3 show the complementary cumulative distributions numerically constructed from time sampling of the growth process for between-independence and Kesten between-dependence, respectively, considering within-independence and different values of parameters and p. The distributions are in agreement with the theoretical results in previous section, within the bounds in Equations (16) and (18) and obeying the predicted tail-indices . Note that the symbols in the figures refer to the possible values of X; in the case of Kesten between-dependence, , .
Figure 2.
Numerical construction of the complementary cumulative distribution of the Sigma-Pi , t large, from the growth model with Bernoulli random variables for within- and between-independence with (a) , ; (b) , ; (c) , ; (d) , ; (e) , ; (f) , ; (g) , ; (h) , ; and (i) , . Gray lines show bounds for the distribution given by Equation (16): , with in the left column, in the middle column and in the right column.
Figure 3.
Numerical construction of the complementary cumulative distribution of the Sigma-Pi , t large, from the growth model with Bernoulli random variables for within-independence and Kesten between-dependence with (a) , ; (b) , ; (c) , ; (d) , ; (e) , ; (f) , ; (g) , ; (h) , ; and (i) , . Gray lines show bounds for the distribution given by Equation (18): , with in the left column, in the middle column and in the right column.
3.2. Mixed between-Dependence
In order to investigate examples of intermediary between-dependence cases, we take direct mixtures of between-independence and Kesten between-dependence. For this, we randomly assign each newborn entity to one of two groups: the independence group, in which members grow or die independently, or the Kesten dependence group, in which existing members grow or die all together. In practice, we use another Bernoulli random variable with parameter q to decide the membership of each entity, fixing for pure between-independence and for pure Kesten between-dependence and referring to the mixed cases as q-between-dependence.
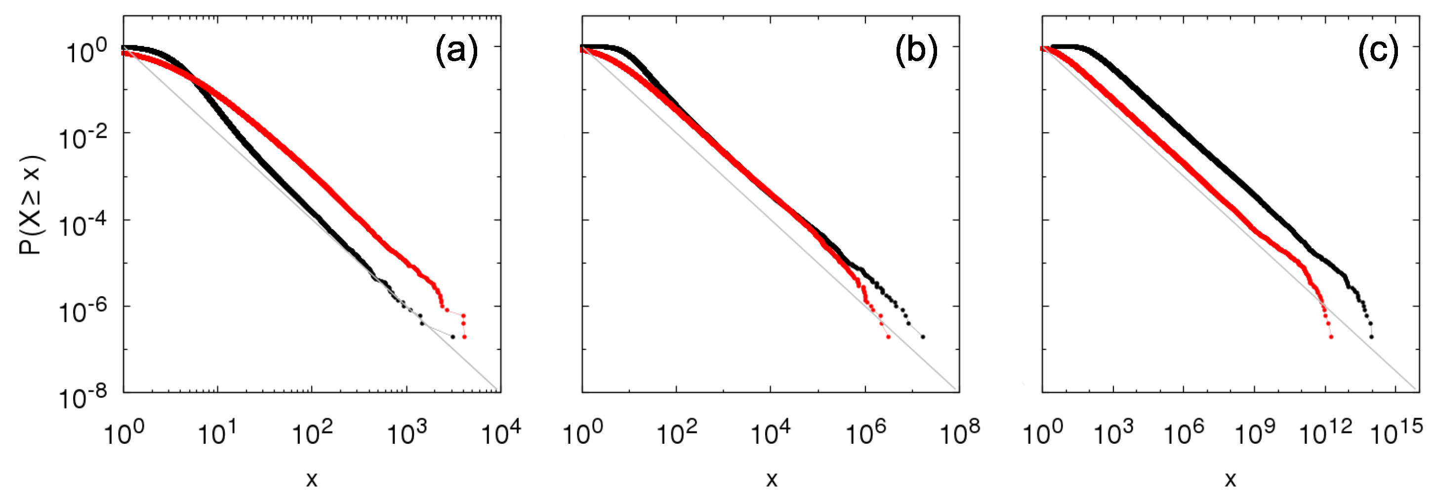
Figure 4 depicts the complementary cumulative distributions from time sampling of the growth process taking within-independence and q-between-dependence. To check the transition from pure Kesten between-dependence () to between-independence (), we choose the values , and . Naturally, the exact values of probabilities differ for each value of parameter q (see zoom-in panel (b)) but bounds in Equation (20) are respected, including the same tail-index for all cases.
Figure 4.
Numerical construction of the complementary cumulative distribution of the Sigma-Pi , t large, from the growth model with Bernoulli random variables for within-independence and q-between-dependence with , and (red: Kesten between-dependence), (orange), (yellow), (green), (violet), (blue), and (black: between-independence). Gray lines show bounds for the distribution given by Equation (20): , with . (b) is a zoomed portion of (a).
We point that, as the group assignment is stochastic for and we perform time sampling, the obtained results are not from a pure Sigma-Pi structure but from an ensemble of q-between-dependence structures with weights privileging the ones having fraction q of independent entities. Nevertheless, the distribution from this model with two dependence groups respects the bounds established in the previous section because each member of this ensemble also obeys them.
3.3. Within-Dependence as Temporal Dependence
Making the correspondence between the considered growth model and the mathematical Sigma-Pi structure, the dependence among entities is associated with the between-dependence, as discussed above. Now, the other kind of dependence, the within-dependence, is related to the temporal dependence (memory) of the random variable (∼growth factor). Exemplifying this connection, we study an instance of the class of -within-dependence, in which the values of all new variables generated in a given time step are repeated in the next steps, respecting the constraints on the repetition of variables of the selected between-dependence. Case corresponds to the within-independence examined previously. We focus here on the case , which can produce the following functions :
Both functions obey the restrictions for Kesten between-dependence: ; , . Therefore, we can use Equation (19) to determine bounds for the distribution . We have that the maximum value of occurs for and the minimum value of occurs for . Thus,
resulting in (for large x)
Values of , x large, are also bounded by two power-laws with the same tail-index, but with tail-index , . We can intuitively understand this result by comparing this 1-within-dependence case to the within-independence Sigma-Pi structure with random variables , . Such Sigma-Pi resembles the solution of the 1-within-dependence growth process and also produces asymptotic power-law bounds with tail-index .
Figure 5 illustrates the complementary cumulative distributions for 1-within-independence and q-between-dependence using the same parameters as Figure 4. For all q-between-dependence cases, the tail-index of the bounds follows the predicted value in Equation (29), being equal to half of the value for the within-independence case.
Figure 5.
Numerical construction of the complementary cumulative distribution of the Sigma-Pi , t large, from the growth model with Bernoulli random variables for -within-dependence, , and q-between-dependence with , and (red: Kesten between-dependence), (orange), (yellow), (green), (violet), (blue), and (black: between-independence). Gray lines show bounds for the distribution given by Equation (29): , with . Panel (b) is a zoomed portion of panel (a).
Temporal correlations in the Kesten process were studied in [29,30] by taking Gaussian random variables with exponentially decreasing autocorrelation function. The main finding was that the tail-index of the power-law-tailed distribution is inversely proportional to the correlation time, which is aligned with our results. Although this type of correlation does not fit in our definition for Sigma-Pi structure—each random variable is either independent or equal to another—the same intuition of re-normalizing the multiplicative random factors applies.
3.4. Contribution of Entities to the Total Sum
The picture suggested by the theoretical and numerical results above is that changing the within-dependence can alter the tail-index of the distribution power-law bounds, noticing that this type of dependence dictates the individual distribution of the product terms being summed. However, for a fixed within-dependence, it seems that the tail-index remains the same for any between dependence (proved for within-dependence in Section 2).
In spite of having the same asymptotic power-law behavior, expressed in the unchanged tail-index, we know from [1] that “the nature of the construction of the events populating the tail differs” for each type of between-dependence due to the interaction between product terms/growing entities. We characterize this difference by using the Herfindhal index, commonly applied in finance as a measure of market concentration [31]. The Herfindhal index is also known, in statistical physics, as the participation ratio, and it is in particular used to quantify the heterogeneity of configurations in spin glasses and other ill-condensed matter systems [32]. In our growth model context, it is defined as the weighted average of the contribution of each entity to the total sum of sizes:
The interesting quantity is the inverse of the Herfindahl index , which provides a measure of the number of entities actually important in the total sum. In particular, if , then , i.e., only one entity contributes to the total sum; not possible for the considered Bernoulli case, but if , , then has its maximum value , meaning a “democratic” contribution of all entities.
We plot in Figure 6 the inverse of the Herfindahl index as a function of the total sum of sizes X obtained by time sampling the Growth-or-Death model, t large, for within-independence and q-between-dependence. We inspect the transition from pure Kesten between-dependence () to between-independence (), taking the intermediary values , and . For Kesten between-dependence, values of correspond to the possible values and converge to a constant different of 1 for large X (in this case, , for ). For intermediary cases, other values of X are now accessible, which reflects in a larger set of possible values of , but with the Kesten between-dependence case being an upper bound for them. As parameter q increases, meaning an increase in the fraction of independent entities, values of close to the bound decrease in the region of large X until the limiting between-independence case where for large X, i.e., just one entity contributes significantly to the total sum X. Because large values of X correspond to the tail of the probability distribution, the asymptotic power-law behavior in the between-independence case is due to a single entity (of course not the same entity for all large X) while for the Kesten between-dependence case there are three entities—the three oldest living ones—significantly contributing to the total sum and thus to the tail behavior.
Figure 6.
Numerical construction of the relationship between the inverse Herfindahl index defined from Equation (30) and values of the Sigma-Pi , t large, from the growth model with Bernoulli random variables for within-independence and q-between-dependence with , and (a) (Kesten between-dependence), (b) , (c) , (d) , (e) (between-independence), and (f) all previous q. Horizontal gray lines correspond to .
For the extreme between-dependence cases, we can make sense of those results by analyzing the possible values of and the associated discrete probability distribution. Because there is no ambiguity in the value of X when , for each X there is a unique and then the probability of the associated with a specific X is equal to the probability of this X. Considering within-independence, we have
- (i)
- between-independence: possible values of X are , , and the corresponding probabilities are computed by setting if is used to compose X and if otherwise (see Equation (4)):When this corresponds to a Poisson-binomial distribution [33,34], and it is the probability distribution of the number of existing entities at time t in this independence case.The particular values give . For large X, Herfindhal index (or ) has a small probability but larger than other values:so that, given the occurrence of a large X, the probability of is larger than the probability of .
- (ii)
- Kesten between-dependence: possible values of X are and the corresponding probabilities areBecause of the restricted values of X in this Kesten case, the possible values of can be simply expressed as (see Equation (30))If , , as observed in Figure 6.
4. Growth Model with Half-Normal Random Variables
We conjecture that analogous results to the ones obtained for the Growth-or-Death model (and the corresponding Sigma-Pi structure with Bernoulli random variables) hold for a wider class of random variables. We cite as an initial justification the already mentioned works by Kesten and Goldie [3,4] and Mikosch et al. [22], which are related to the Sigma-Pi structure with within-independence and the two extreme cases of between-dependence: Kesten and independence, respectively. In those cases, the asymptotic power-law behavior of the Sigma-Pi distribution is present when the random variables are such that there exists a positive number satisfying . Here, we provide additional evidence by numerically studying the same growth model of the previous section but taking half-normally distributed random variables, i.e., , .
A difference from the Bernoulli case is that for half-normal random variables there is no death and the number of entities increases endlessly. To make numerical simulations possible, we introduce a rule for death in the form of a threshold: entities with size are removed. We illustrate in Figure 7 the complementary cumulative distribution time sampled from the growth model for within-independence and between-independence and Kesten between-dependence. The tail-index is given by the Kesten’s relation , which for half-normal distribution can be expressed implicitly as being a function of [35]:
We show results for (), (), and (). It is interesting to observe that for , tail values for the Kesten between-dependence are larger than for between-independence, i.e., the scale factor for the Kesten between-dependence is larger, deviating from the Bernoulli case result in Equation (19). For and , tail for between-independence larger than for Kesten between-dependence is recovered.
Figure 7.
Numerical construction of the complementary cumulative distributions and of the Sigma-Pi , t large, from the growth model with half-normal random variables for within-independence and between-independence (black) and Kesten between-dependence (red) with (a) , (b) , and (c) . Gray lines show , with in the left graph, in the middle graph and in the left graph.
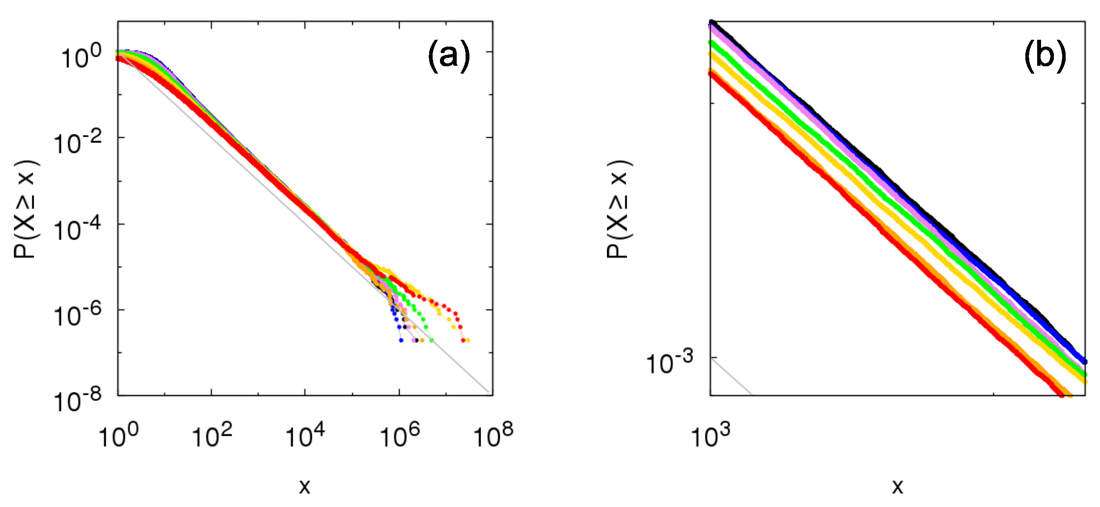
We proceed with the comparison and consider the q-between-dependence, consisting of intermediary cases between independence () and Kesten dependence (). Figure 8 shows the complementary cumulative distribution for intermediary parameter values , and . Even with the commented inversion regarding the tails of the between-independence and Kesten between-dependence, all intermediary cases fall in between the extremes corresponding to between-independence and Kesten between-dependence, so that they also present power-law tail with same tail-index (but the scale factor varies from one extreme to another as q increases). These bounds associated with independence and Kesten dependence may provide a path to prove that any within-independence Sigma-Pi structures present power-law tails for a wider class of random variables, as the power-law tails for the extremes cases are already well established.
Figure 8.
Numerical construction of the complementary cumulative distribution of the Sigma-Pi , t large, from the growth model with half-normal random variables for within-independence and q-between-dependence with and (red: Kesten between-dependence), (orange), (yellow), (green), (violet), (blue), and (black: between-independence). Gray line shows , with . Panel (b) is a zoomed portion of panel (a).
For within-dependence, we again consider the -within-dependence, , and show the results in Figure 9 taking q-between-dependence. For all values of q, the tail-index of the tails is half of the within-independence one, similar to the Bernoulli case and also rationalized by the renormalization of the random variables. Compare the inversion of scale factors for each q with Figure 8.
Figure 9.
Numerical construction of the complementary cumulative distribution of the Sigma-Pi , t large, from the growth model with half-normal random variables for -within-dependence, , and q-between-dependence with and (red: Kesten between-dependence), (orange), (yellow), (green), (violet), (blue), and (black: between-independence). Gray line shows , with . Panel (b) is a zoomed portion of panel (a).
Finally, we characterize the number of contributing entities to the total sum using the Herfindhal index. In Figure 10, we observe the transition from pure Kesten between-dependence to between-independence. For half-normal random variables, there is the possibility of distinct values of for the same X and now the Kesten between-dependence can have a diversity of value for large X, opposed to a single constant; but as in the Bernoulli case, it still cannot take values or close to it for X large because of the strong dependence between the entities (they share the same growth factors): if one entity is large, its close temporal neighbors are also large. As q increases, value for large X starts materializing in the numerical constructions while larger values for large X become less probable to appear in the simulations as also do small values of X. The limit is the between-independence, for which, following the Bernoulli case, the probability of given large X to be produced in the simulations is much larger than of , that is, here as well only one entity contributes to a large sum.
Figure 10.
Numerical construction of the relationship between the inverse Herfindahl index and values of the Sigma-Pi , t large, from the growth model with half-normal random variables for within-independence and q-between-dependence with and (a) (Kesten between-dependence), (b) , (c) , (d) , (e) (between-independence), and (f) all previous q. Horizontal gray lines correspond to .
5. Final Remarks
The main part of this work was devoted to the study of the Sigma-Pi structure with Bernoulli random variables. As a general theoretical result, we showed that, for any kind of within- and between-dependence, the Sigma-Pi structure always presents a distribution bounded from below by a power-law function. As a particular result for within-independence, we demonstrated that, for any between-dependence, the complementary cumulative distribution of the corresponding Sigma-Pi is bounded by power-law functions with the same tail-index given by the Kesten’s relation , which confirms our previous conjecture [1] for this particular case of Bernoulli random variables.
We then considered the Sigma-Pi structure as the solution of a simple growth model in which entities are successively born and the quantity of interest is the sum of their sizes. For Bernoulli random variables—Growth-or-Death model—we analyzed the interaction between entities for the cases of between-independence, Kesten between-dependence, and mixtures of both (q-between-dependence). Agreeing with theory, we found that the mixed cases are always in between the independence and Kesten cases and thus bounded by power-laws. When introducing temporal dependence of the growth factors through within-dependence, the tail-index was modified but it remained the same for all q-between-dependence cases, suggesting that, given a within-dependence, no between-dependence is strong enough to alter the asymptotic power-law behavior of the distribution of a Sigma-Pi structure. However, notwithstanding the same tail-index, the construction of the distribution tail differs for each between-dependence case: for Kesten between-dependence, which corresponds to the strongest interdependence among entities, the number of entities effectively contributing to tail events is maximum, and for between-independence, in the occasion of an extreme event, a single entity in the sum is overwhelmingly larger than all the others and it alone is responsible for a given tail event.
Taking Bernoulli random variables is one of the simplest cases but it provides hints for more general situations. We restate our conjecture that most of the results concerning the presence of a power-law tail and its connections with the types of dependence of the constitutive random variables hold for a wider class of random variables. We used half-normally distributed random variables to exemplify it. In particular, we observed that the tails of the distributions for q-between-dependence are always bounded by the independence and Kesten dependence cases, both already proven to have asymptotic power-law behavior with the same tail-index.
We conclude by indicating a direct generalization of the Sigma-Pi structure, the Sigma-Sigma-Pi structure:
The Sigma-Sigma-Pi includes the Sigma-Pi but allows more than one product term of the same order, i.e., with same number of multiplicative random factors. In the same way that the univariate Kesten process has a solution following a Sigma-Pi structure, the components of the solution of the multivariate Kesten process can be represented as a Sigma-Sigma-Pi. In addition to multiplicative processes, it is also the solution of a generalized version of the studied growth model, with the possibility of more than one entity born at each time step. Results on the Sigma-Pi structure and its extensions, either as mathematical objects on their own or for modeling time series and growth of entities in diverse fields, can broaden our comprehension on the construction of particular power-law-tailed distributions.
Author Contributions
Conceptualization, A.M.Y.R.d.S.; methodology, A.M.Y.R.d.S., H.T., and D.S.; software, A.M.Y.R.d.S.; validation, A.M.Y.R.d.S.; formal analysis, A.M.Y.R.d.S. and D.S.; investigation, A.M.Y.R.d.S.; resources, M.T.; writing—original draft preparation, A.M.Y.R.d.S.; writing—review and editing, A.M.Y.R.d.S., H.T., D.S., and M.T.; visualization, A.M.Y.R.d.S.; supervision, H.T. and M.T.; project administration, M.T. All authors have read and agreed to the published version of the manuscript.
Funding
Author H.T. is employed by Sony Computer Science Laboratories, Inc., which provided support in the form of salaries for author H.T.
Institutional Review Board Statement
Not applicable.
Informed Consent Statement
Not applicable.
Data Availability Statement
Not applicable.
Conflicts of Interest
The funder had no role in the design of the study; in the collection, analyses, or interpretation of data; in the writing of the manuscript; or in the decision to publish the results.
Appendix A. Sigma-Pi with Bernoulli Random Variables (θ > 1)
Consider the Sigma-Pi structure in Equation (4) and the condition , . For the particular values , the probability is greater or equal to the case studied in the main text because now we can have some , :
References
- Sousa, A.M.Y.R.; Takayasu, H.; Sornette, D.; Takayasu, M. Power-law distributions from Sigma-Pi structure of sums of random multiplicative processes. Entropy 2017, 19, 417. [Google Scholar] [CrossRef]
- Buraczewski, D.; Damek, E.; Mikosch, T. Stochastic Models with Power-Law Tails; Springer: New York, NY, USA, 2016. [Google Scholar]
- Kesten, H. Random difference equations and renewal theory for products of random matrices. Acta Math. 1973, 131, 207–248. [Google Scholar] [CrossRef]
- Goldie, C.M. Implicit renewal theory and tails of solutions of random equations. Ann. Appl. Probab. 1991, 1, 126–166. [Google Scholar] [CrossRef]
- Anděl, J. Autoregressive series with random parameters. Statistics 1976, 7, 735–741. [Google Scholar] [CrossRef]
- Nicholls, D.F.; Quinn, B.G. The estimation of random coefficient autoregressive models I. J. Time Ser. Anal. 1980, 1, 37–46. [Google Scholar] [CrossRef]
- Klüppelberg, C.; Pergamenchtchikov, S. The tail of the stationary distribution of a random coefficient AR(q) model. Ann. Appl. Probab. 2004, 14, 971–1005. [Google Scholar] [CrossRef]
- Sousa, A.M.Y.R.; Takayasu, H.; Takayasu, M. Random coefficient autoregressive processes and the PUCK model with fluctuating potential. J. Stat. Mech. Theory Exp. 2019, 1, 013403. [Google Scholar] [CrossRef]
- Engle, R.F. Autoregressive conditional heteroscedasticity with estimates of the variance of United Kingdom inflation. Econometrica 1982, 50, 987–1007. [Google Scholar] [CrossRef]
- Bollerslev, T. Generalized autoregressive conditional heteroskedasticity. J. Econ. 1986, 31, 307–327. [Google Scholar] [CrossRef]
- Engle, R.F. New frontiers for ARCH models. J. Appl. Econ. 2002, 17, 425–446. [Google Scholar] [CrossRef]
- Basrak, B.; Davis, R.A.; Mikosch, T. Regular variation of GARCH processes. Stoch. Process. Their Appl. 2002, 99, 95–115. [Google Scholar] [CrossRef]
- Takayasu, H.; Sato, A.H.; Takayasu, M. Stable infinite variance fluctuations in randomly amplified Langevin systems. Phys. Rev. Lett. 1997, 79, 966. [Google Scholar] [CrossRef]
- Sornette, D.; Cont, R. Convergent multiplicative processes repelled from zero: Power laws and truncated power laws. J. Phys. I 1997, 7, 431–444. [Google Scholar] [CrossRef]
- Sornette, D. Multiplicative processes and power laws. Phys. Rev. E 1998, 57, 4811. [Google Scholar] [CrossRef]
- Huynen, M.A.; Van Nimwegen, E. The frequency distribution of gene family sizes in complete genomes. Mol. Biol. Evol. 1998, 15, 583–589. [Google Scholar] [CrossRef] [PubMed]
- Amaral, L.A.N.; Buldyrev, S.V.; Havlin, S.; Salinger, M.A.; Stanley, H.E. Power law scaling for a system of interacting units with complex internal structure. Phys. Rev. Lett. 1998, 80, 1385. [Google Scholar] [CrossRef]
- Blank, A.; Solomon, S. Power laws in cities population, financial markets and internet sites (scaling in systems with a variable number of components). Phys. A 2000, 287, 279–288. [Google Scholar] [CrossRef]
- Picoli, S., Jr.; Mendes, R.S. Universal features in the growth dynamics of religious activities. Phys. Rev. E 2008, 77, 036105. [Google Scholar] [CrossRef] [PubMed]
- Takayasu, M.; Watanabe, H.; Takayasu, H. Generalised central limit theorems for growth rate distribution of complex systems. J. Stat. Phys. 2014, 155, 47–71. [Google Scholar] [CrossRef]
- Sutton, J. Gibrat’s legacy. J. Econ. Lit. 1997, 35, 40–59. [Google Scholar]
- Mikosch, T.; Rezapour, M.; Wintenberger, O. Heavy tails for an alternative stochastic perpetuity model. Stoch. Process. Their Appl. 2019, 129, 4638–4662. [Google Scholar] [CrossRef]
- Weisstein, E.W. q-Pochhammer Symbol. MathWorld–A Wolfram Web Resource. 2019. Available online: http://mathworld.wolfram.com/q-PochhammerSymbol.html (accessed on 12 February 2019).
- Grincevićius, A.K. One limit distribution for a random walk on the line. Lith. Math. J. 1975, 15, 580–589. [Google Scholar] [CrossRef]
- Wergen, G. Records in stochastic processes—Theory and applications. J. Phys. A 2013, 46, 223001. [Google Scholar] [CrossRef]
- Saichev, A.I.; Malevergne, Y.; Sornette, D. Theory of Zipf’s Law and Beyond; Springer-Verlag Berlin Heidelberg: Berlin, Germany, 2009. [Google Scholar]
- Hisano, R.; Sornette, D.; Mizuno, T. Predicted and verified deviations from Zipf’s law in ecology of competing products. Phys. Rev. E 2011, 84, 026117. [Google Scholar] [CrossRef] [PubMed]
- Malevergne, Y.; Saichev, A.; Sornette, D. Zipf’s law and maximum sustainable growth. J. Econ. Dyn. Control 2013, 37, 1195–1212. [Google Scholar] [CrossRef]
- Sato, A.H.; Takayasu, H.; Sawada, Y. Invariant power law distribution of Langevin systems with colored multiplicative noise. Phys. Rev. E 2000, 61, 1081. [Google Scholar] [CrossRef] [PubMed]
- Morita, S. Power law in random multiplicative processes with spatio-temporal correlated multipliers. EPL 2016, 113, 40007. [Google Scholar] [CrossRef][Green Version]
- Investopedia. Herfindahl-Hirschman Index—HHI. 2019. Available online: http://investopedia.com/terms/h/hhi.asp (accessed on 12 February 2019).
- Thouless, D.J. Electrons in disordered systems and the theory of localization. Phys. Rep. 1974, 13, 93–142. [Google Scholar] [CrossRef]
- Wang, Y.H. On the number of successes in independent trials. Stat. Sin. 1993, 3, 295–312. [Google Scholar]
- Hong, Y. On computing the distribution function for the Poisson binomial distribution. Comput. Stat. Data Anal. 2013, 59, 41–51. [Google Scholar] [CrossRef]
- Weisstein, E.W. Half-Normal Distribution. 2019. Available online: http://mathworld.wolfram.com/Half-NormalDistribution.html (accessed on 12 February 2019).
Publisher’s Note: MDPI stays neutral with regard to jurisdictional claims in published maps and institutional affiliations. |
© 2021 by the authors. Licensee MDPI, Basel, Switzerland. This article is an open access article distributed under the terms and conditions of the Creative Commons Attribution (CC BY) license (http://creativecommons.org/licenses/by/4.0/).









